Balanced Gyroscope

By admin , 10 February 2026
Short Description

# Purpose and Context

TDK introduced a line of inertial motion units (IMU) that contains a novel gyroscope architecture called the balanced gyroscope, but many customers do not know what a balanced gyroscope is, what the benefits are, and when to consider designing this into their systems.  This document describes what the balanced gyroscope is, the benefits of the balanced gyroscope, and which TDK inertial measurement units (IMU) contain the balanced gyroscope.


 

Description

# What is the balanced gyroscope?

Balanced gyroscopes are designed for superior vibration rejection, high-precision sensing of angular velocity via Coriolis force, and reduced noise in harsh environments.  These devices use symmetric structures to improve immunity to external vibrations by cancelling out common mode noise.  

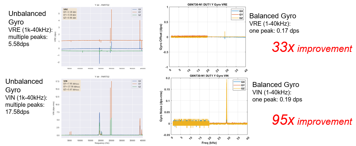
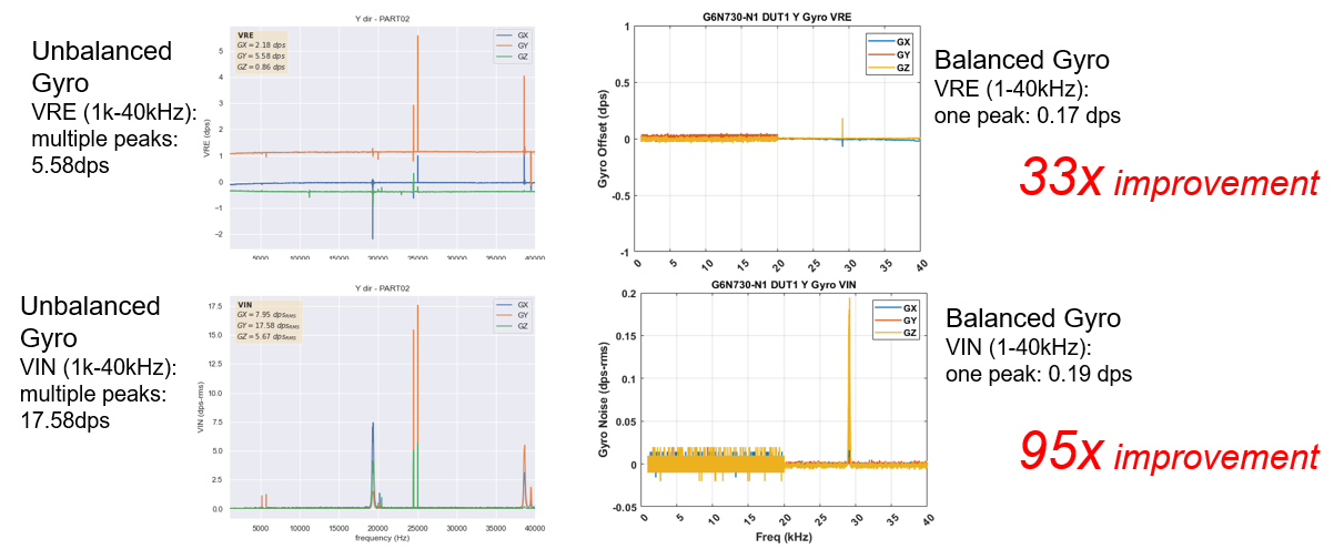
# The problem of the unbalanced gyroscope

In general, when an unbalanced gyroscope is placed next to a source of vibration such as a speaker, haptic sensors, motor, or another unbalanced gyroscope with a drive frequency that is close to the drive frequency of the first gyroscope, a response can be induced in the unbalanced gyroscope. This shows up in the VRE (Vibration Rectification Error) and VIN (Vibration Induced Noise) specifications.  As a result of this effect, we recommend that customers be aware of placing the IMU next to a speaker, a motor, and/or a haptic sensor.  We also do not recommend placing more than one unbalanced gyroscope on the same PCB as doing so can result in a drive frequency beat and an increase in gyroscope noise.  

# The benefits of the balanced gyroscope

With the balanced gyroscope, the symmetric structures are designed for superior vibration rejection and reduced noise in harsh environments by canceling out the common mode noise that is coupled into the gyroscope from the vibrating source.  When placed next to vibrating sources such as speakers, haptic sensors, motors, or other gyroscopes, the response from the balanced gyroscope is orders of magnitude less than the unbalanced gyroscope.  As a result, we highly recommend using a balanced gyroscope for applications that have these sources of vibrations or for customers who want to put more than one IMU on a single PCB.  

# List of TDK IMUs that contain the balanced gyroscope

Consumer IMU
ICM-45605
ICM-45686

Industrial IMU
IIM-20670


# Revision History

-   2026-02-05 - initial release

Image
Image